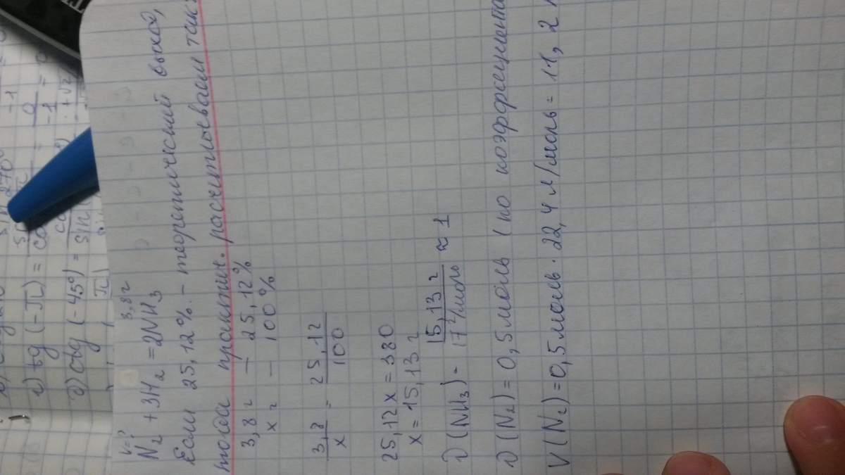
Вычислите объем(V) азота(N2) при н.у.(22,4л/моль), который вступил в реакцию с водородом(H2), если было получено 3,8 г аммиака(NH3),что составляет 25,12% от теоритически возможного выхода.
Ответы
Ответ дал:
4
по крайней мере я бы так решила
Приложения:
Вас заинтересует
2 года назад
2 года назад
2 года назад
2 года назад
7 лет назад
7 лет назад
9 лет назад
9 лет назад