• Предмет: Математика
  • Автор: MateeMatika
  • Вопрос задан 7 лет назад

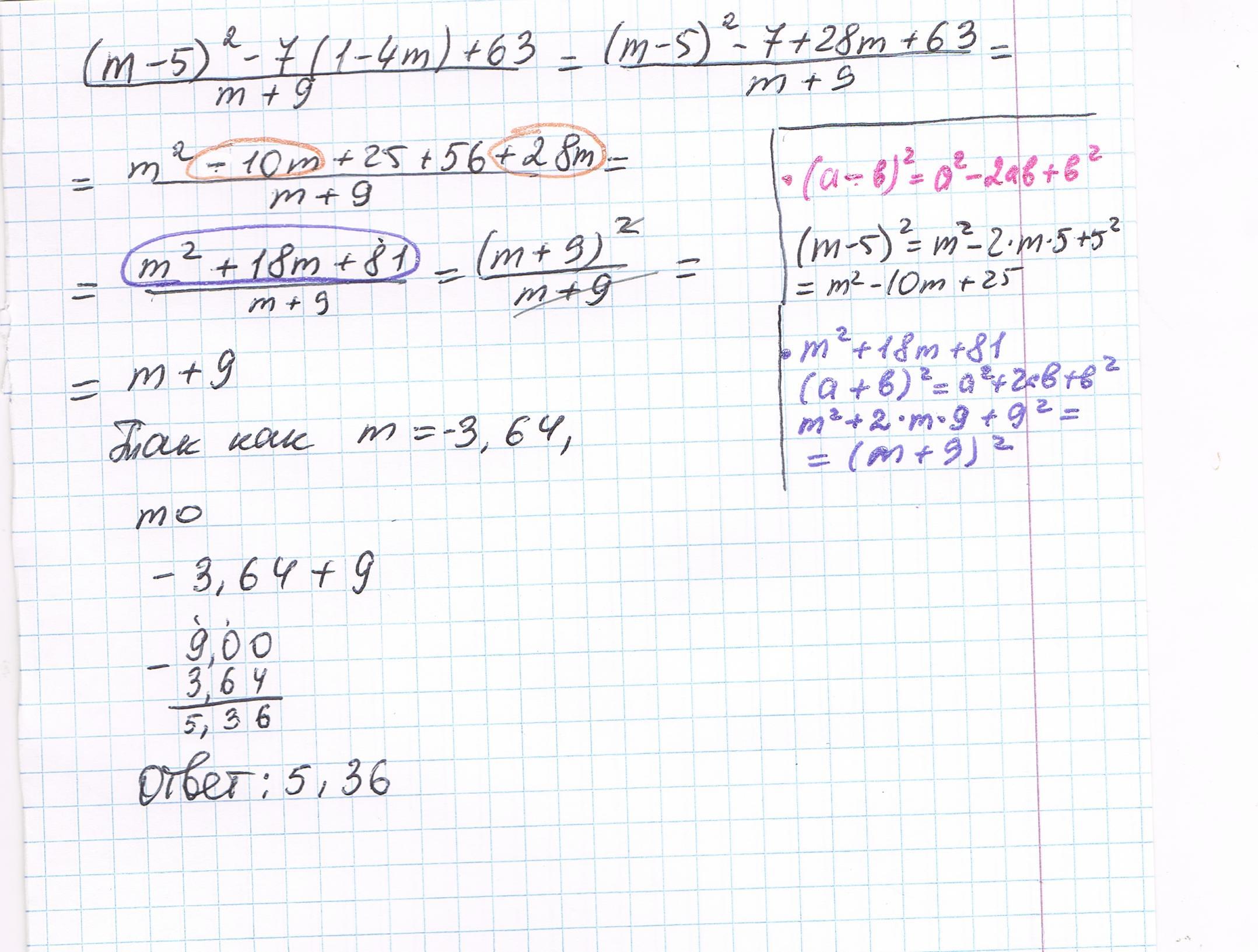
Помогите решить ПОДРОБНО выражение (см. фото/текст) (m-5)^2-7(1-4m) + 63/m+9, если m = -3,64

Приложения:

Ответы

Ответ дал: qqqert1234
1

Ответ:

5,36

Пошаговое объяснение:

Приложения:
Вас заинтересует