• Предмет: Математика
  • Автор: ftlpnsw
  • Вопрос задан 7 лет назад

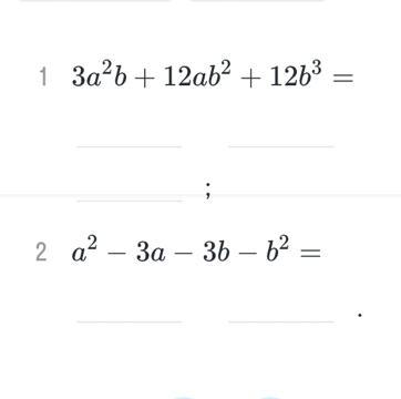
РАЗЛОЖИТЕ НА МНОГОЧЛЕН пожалуйста

Приложения:

Ответы

Ответ дал: zxsfie
1
1. 3ab(a+4b+4b^2)

2. (a+b)(a-b-3)

NecroMaster: в первом неправильно, сейчас исправлю
NecroMaster: там при разложении получаетс 3a^2b + 12ab^2 +12ab^3, в последнем а быть не должно
zxsfie: спасибо за исправление :3
Ответ дал: NecroMaster
1

первый

= 3b(a^2 + 4ab + 4b^2) = 3b(a + 2b)^2

второй

= (a^2 - b^2) - 3(a + b) = (a + b)(a - b) - 3(a + b) = (a + b)(a - b - 3)

отметь ответ как лучший пожалуйста

Вас заинтересует