• Предмет: Алгебра
  • Автор: matlipaeff2017
  • Вопрос задан 7 лет назад

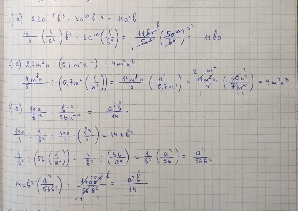
Упростите выражение. Алгебра 8 класс ​

Приложения:

Ответы

Ответ дал: ShtainDaniel
0

Ответ:

1) 11а^2b

2) 4m^4n^3

3) a^5b/14

4)216y^2

Объяснение:

на фотоооооооо

Приложения:
Вас заинтересует