Катер двигался 3 часа против течения реки и затем 1 часа по озеру всего проплыв 72км Найдите собственную скорость катера если скорость течения реки 2 км/ч? Составьте таблицу пжжж!
Ответы
                                            Ответ дал: 
                                                                                    
                                        
                                            
                                                
                                                
                                                
                                                    0
                                                
                                            
                                        
                                    Ответ:
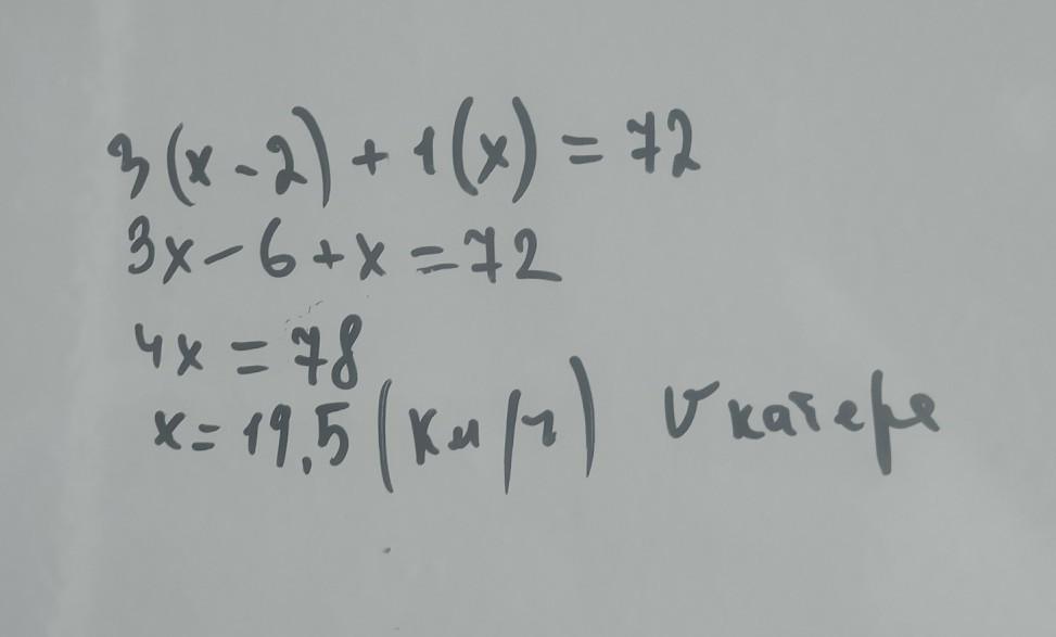
v катера= 19,5 км/ч
Объяснение:
на фото.
3(х-2)+х=72
Приложения:
                     
                            Вас заинтересует
                
                        2 года назад
                    
                
                        2 года назад
                    
                
                        2 года назад
                    
                
                        2 года назад
                    
                
                        8 лет назад
                    
                
                        9 лет назад