• Предмет: Физика
  • Автор: elya383572
  • Вопрос задан 7 лет назад

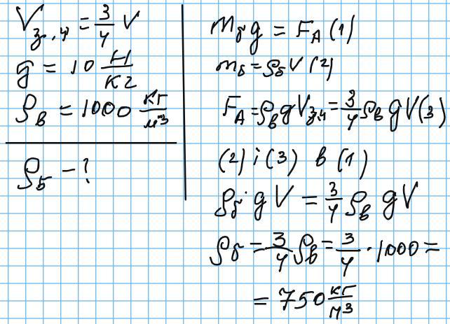
4. Брусок плаває у воді таким чином, що під водою перебуває 3/4 його об'єму. Визначте густину бруска. ПОМОГИТЕ, ДАЮ 40 БАЛЛОВ

Ответы

Ответ дал: zybkov1950
1

Відповідь: 750 кг/м³

Пояснення:

Приложения:
Вас заинтересует