• Предмет: Алгебра
  • Автор: Mskae
  • Вопрос задан 7 лет назад

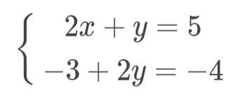
СРОЧНО!! Решите системы уравнений графическим способом

Приложения:

Ответы

Ответ дал: borovkovavika07
0

Ответ:

Я решу,если спрошу, во втором уравнении где -3 ведь должен быть х, если да, то жду ответа,и потом решу(если не веришь,посмотри в моих ответах, я там многим посылала решение систем)

Вас заинтересует