Ответы
Ответ дал:
1
Ответ:
решение смотри на фотографии
Приложения:

Ответ дал:
1
Ответ:
Пошаговое объяснение:
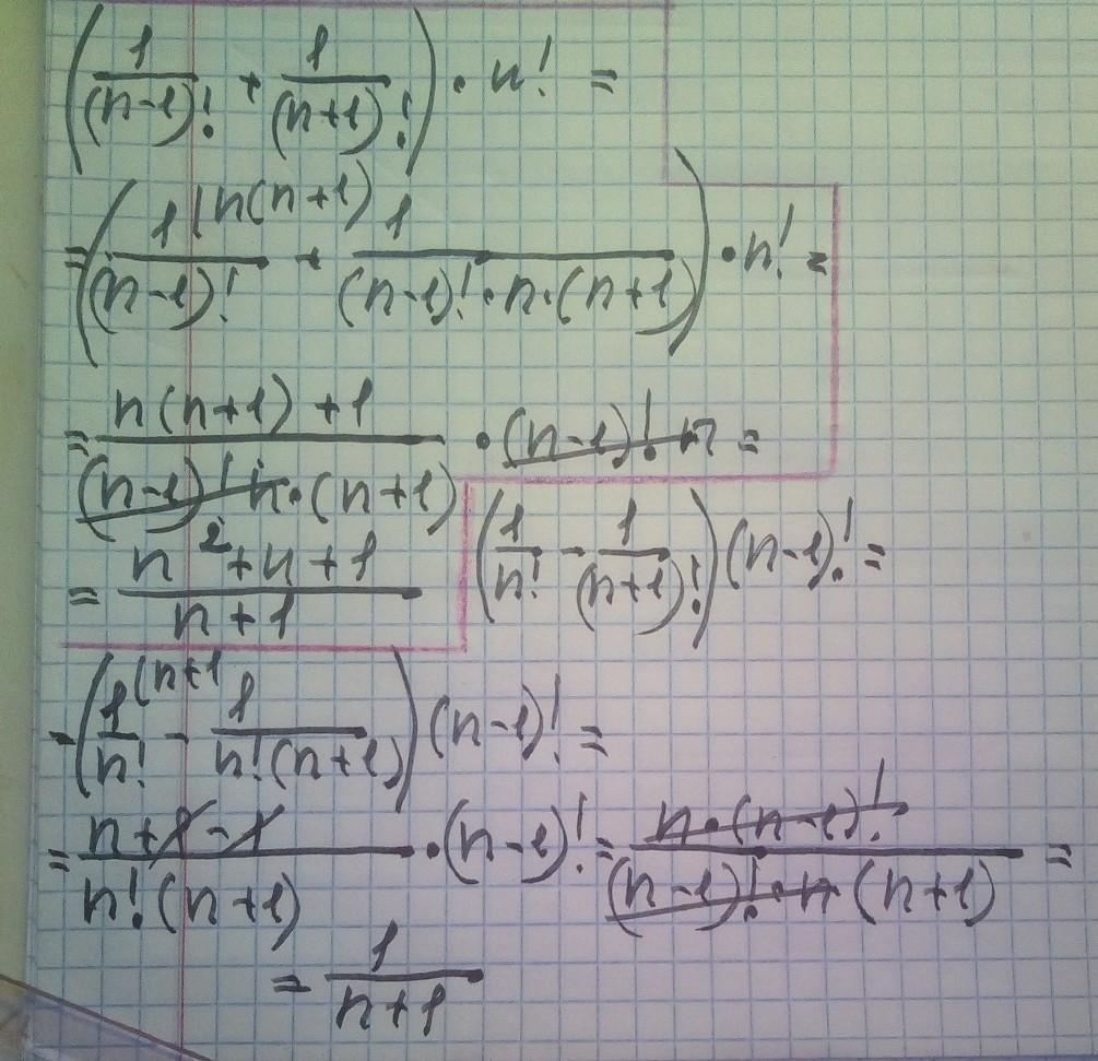
2.1 . a ) ( 1/( n - 1 )! + 1/( n + 1 )! ) * n ! = n !/( n - 1 )! + n !/( n + 1 )! =
= n/1 +1/( n + 1 ) = [ n( n + 1 ) + 1 ]/( n + 1 ) = ( n² + n + 1 )/( n + 1 ) ;
б ) ( 1/n ! - 1/( n + 1 )! ) *( n - 1 )! = ( n - 1 ) !/n ! - ( n - 1 ) !/( n + 1 )! =
= 1/n - 1/[ n( n + 1 ) ] = ( n + 1 - 1 )/[ n( n + 1 ) ] = n/[ n( n + 1 ) ] = 1/( n + 1 ) .
carakara36:
Помогите пожалуйста с геометрией
Вас заинтересует
2 года назад
2 года назад
2 года назад
8 лет назад
9 лет назад
9 лет назад