• Предмет: Алгебра
  • Автор: valka00
  • Вопрос задан 7 лет назад

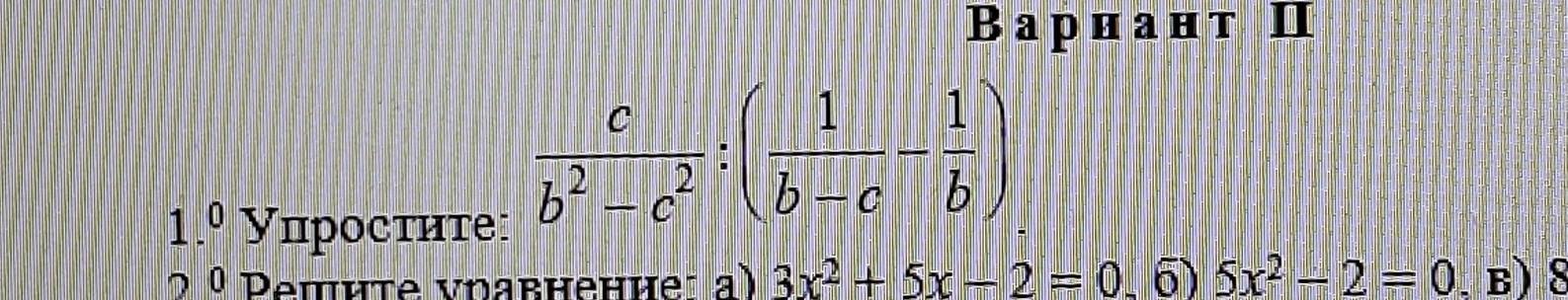
нужно упростить
помогите пожалуйста!!​

Приложения:

Ответы

Ответ дал: katyaivashchenkova
0

Ответ:

b/b+c

Объяснение:

.

Вас заинтересует