• Предмет: Алгебра
  • Автор: kisma666
  • Вопрос задан 7 лет назад

помогите решить пример пожалуйста!​

Приложения:

Ответы

Ответ дал: bel72777
1

Ответ:

Объяснение:

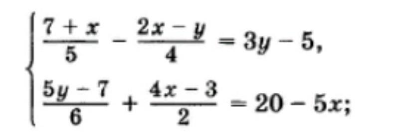
Система уравнений:

(7+x)/5 -(2x-y)/4=3y-5

(5y-7)/6 +(4x-3)/2=20-5x

1) (7+x)/5 -(2x-y)/4=3y-5

4(7+x)-5(2x-y)=20(3y-5)

28+4x-10x+5y=60y-100

-6x+5y-60y=-100-28

-6x-55y=-128

2) (5y-7)/6 +(4x-3)/2=20-5x

5y-7+3(4x-3)=6(20-5x)

5y-7+12x-9=120-30x

5y+12x+30x=120+16

5y+42x=136                           |×11

55y+462x=1496

-6x-55y+55y+462x=-128+1496

456x=1368

x=1368/456

x=3

-6·3-55y=-128

55y=-18+128

y=110/55

y=2

Ответ: x=3; y=2.


kisma666: спасибо!
Вас заинтересует