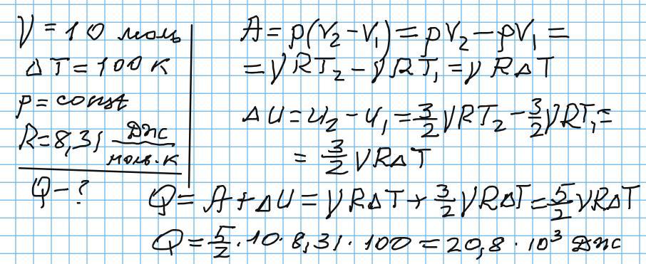
Визначити кількість теплоти, яку надали 10 молям одноатомного газу при його ізобарному
нагріванні на 100 К.
/
Определить количество теплоты, которое предоставили 10 молям одноатомного газа при его изобарном
нагревании на 100 к.
Буду вдячним
Ответы
Ответ дал:
1
Відповідь: 20,8 кДж
Пояснення:
Приложения:

Вас заинтересует
2 года назад
2 года назад
2 года назад
2 года назад
8 лет назад