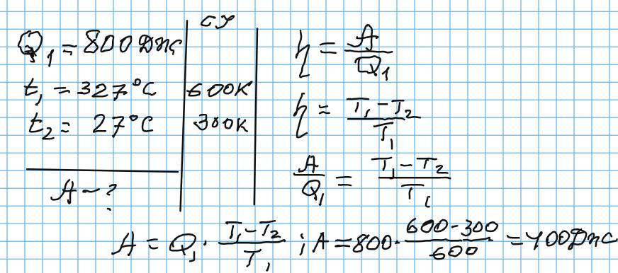
Машина за один цикл отримує від нагрівника кількість теплоти 800 Дж. Яку корисну роботу
виконує машина, якщо температура нагрівника ідеальної теплової машини 327 °С, а
температура холодильника 27 °С.
/
Машина за один цикл получает от отопителя количество теплоты 800 Дж. Какую полезную работу
выполняет машина, если температура отопителя идеальной тепловой машины 327 °С, а
температура холодильника 27 °С.
Буду дуже вдячним
Ответы
Ответ дал:
0
Відповідь: 400 Дж
Пояснення:
Приложения:

Вас заинтересует
2 года назад
2 года назад
2 года назад
2 года назад
8 лет назад
9 лет назад