• Предмет: Алгебра
  • Автор: r5dytrg4ky
  • Вопрос задан 7 лет назад

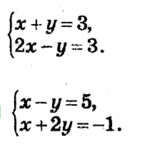
розв’яжіть графічну систему рівнянь:
СРОЧНО!!

Приложения:

Ответы

Ответ дал: buskooleg305
1

Ответ:

хз яким способом тобі тре, я зроблю додаванням

Приложения:
Вас заинтересует