Ответы
Ответ дал:
2
Ответ:
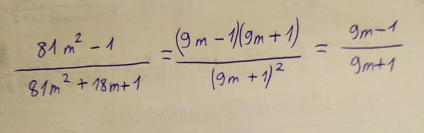
9m-1 / 9m+1
Объяснение:
На фотографии более подробное решение.
Приложения:

Вас заинтересует
2 года назад
9 лет назад