• Предмет: Физика
  • Автор: nastaynikitina2007
  • Вопрос задан 7 лет назад

Пожалуйста очень срочно!
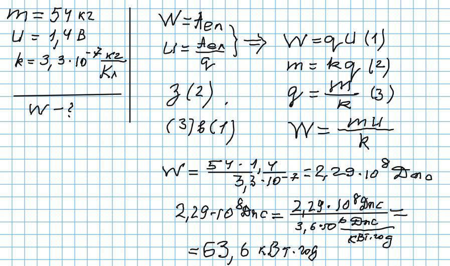
Визнач витрати електроенергії на рафінування 54кг міді, якщо напруга на електродах електролітичної ванни становить 1,4В. (Електролітичне рафінування — електроліз водних розчинів або сольових розплавів, що дозволяє одержувати метали високої чистоти.) Електрохімічний еквівалент міді k=0,33⋅10−6кгКл.​

Ответы

Ответ дал: zybkov1950
1

Відповідь: 63,6 кВт·год

Пояснення:

Приложения:

nastaynikitina2007: Спасибо большое,только мне нужно в Мдж
nastaynikitina2007: и у меня 3,3×10-6,а не - 7
Вас заинтересует