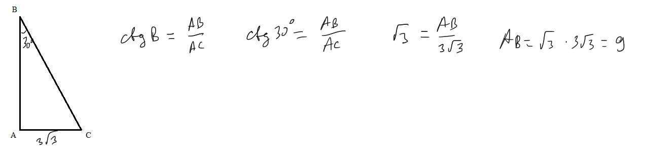
в прямоугольном треугольнике катет AC равен 3√3 а угол B 30 градусов найдите другой катет этого треугольника
Ответы
Ответ дал:
1
Ответ:
9
Объяснение:
как-то так
Приложения:

Вас заинтересует
2 года назад
2 года назад
2 года назад
2 года назад
8 лет назад
8 лет назад
9 лет назад