• Предмет: Алгебра
  • Автор: daseft175
  • Вопрос задан 7 лет назад

решить квадратное уравнеение 3x²-5x-2=0

Ответы

Ответ дал: larisaserova53
0

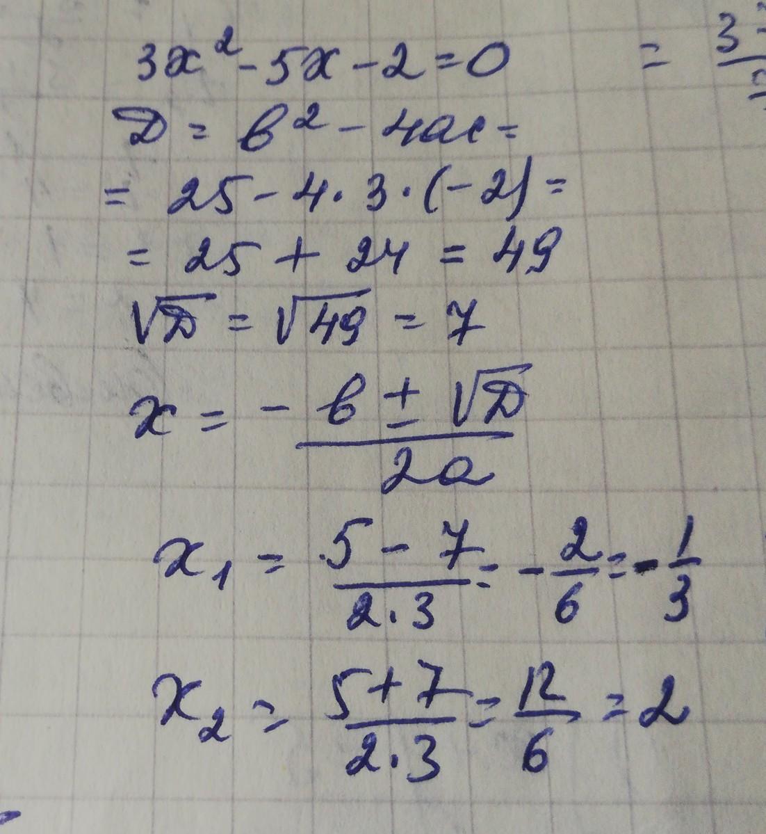
Ответ:

Смотри решение на фото..

Приложения:
Ответ дал: SpringScorpion
0

Ответ:

х₁ = 2, х₂ = -\frac{1}{3}

Объяснение:

3x² - 5x - 2 = 0

х = (-(-5) ± \sqrt{(-5)^{2}-4*3*(-2) })/(2*3)

х = (5 ± \sqrt{49})/6

х = (5 ± 7)/6

Тогда х₁ = (5 + 7)/6 и х₂ = (5 - 7)/6, потом х₁ = 12/6 и х₂ = -2/6, далее х₁ = 2, а х₂ = -\frac{1}{3}

Вас заинтересует