• Предмет: Алгебра
  • Автор: taabidna
  • Вопрос задан 7 лет назад

100 балів і краща відповідь....з розв'язком ​

Приложения:

Pulitzer: Сейчас решу

Ответы

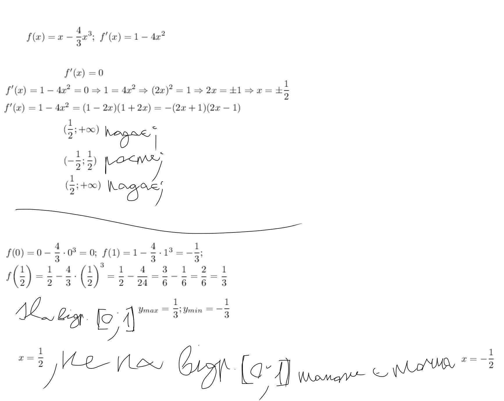
Ответ дал: Pulitzer
1

Ось……………………………………………..

Приложения:
Вас заинтересует