• Предмет: Математика
  • Автор: nastastamatova
  • Вопрос задан 7 лет назад

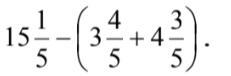
Помогите пожалуйста!!! Очень очень срочно!

Приложения:

Ответы

Ответ дал: ggiinfy
0

Ответ:

в ответе выйдет 6,8

Пошаговое объяснение:

6,8 можно не писать. просто 6 целых 4 пятых

Приложения:
Вас заинтересует