ДАЮ 100 БАЛОВ ПОМОГИТЕ !Скільки часу тривав електроліз, якщо при силі струму 600 А на катоді виділилося 1,5 кг алюмінію ( з дано если можно )
Ответы
Ответ дал:
1
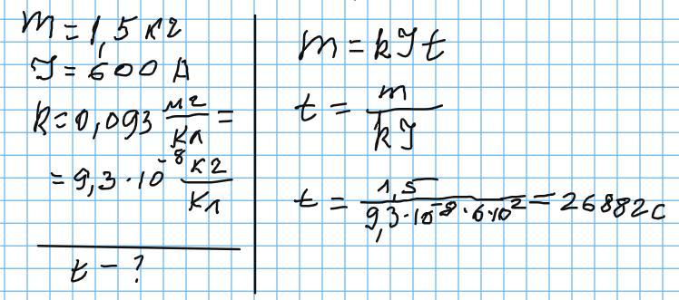
m=kIt
t=m/kI
k-електрохімічний еквівалент алюмінію=0.093*10^(-6)
Объяснение:
t=1.5/(0.093*10^(-6)*600)=26881c
t=m/kI
k-електрохімічний еквівалент алюмінію=0.093*10^(-6)
Объяснение:
t=1.5/(0.093*10^(-6)*600)=26881c
Ответ дал:
5
Відповідь: 26882 с
Пояснення:
Приложения:
zviryk13:
чел ты прикрасный
Вас заинтересует
3 года назад
3 года назад
8 лет назад
10 лет назад
10 лет назад