• Предмет: Математика
  • Автор: vlad2004varv
  • Вопрос задан 7 лет назад

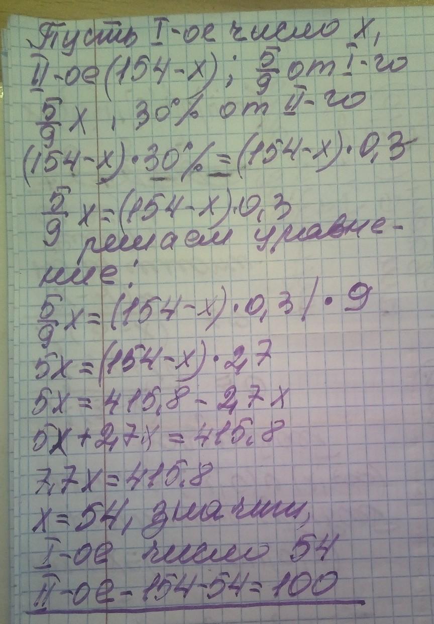
Сума двох чисел 154.Знайдіть ці числа,якщо п'ять девятих першого числа дорівнює 30%другого.

Ответы

Ответ дал: manyny06
0

Ответ:

решение смотри на фотографии

Приложения:
Вас заинтересует