• Предмет: Математика
  • Автор: shsakhdjdkcjnshw
  • Вопрос задан 7 лет назад

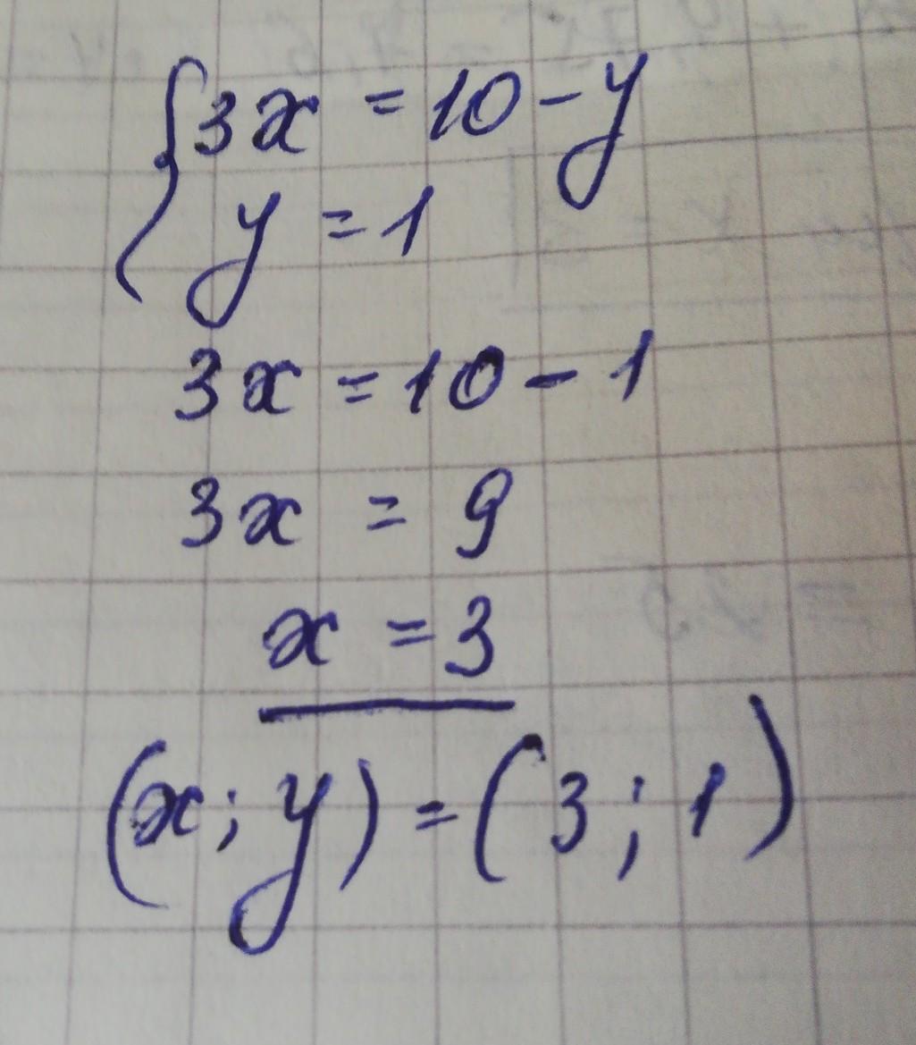
знайти х:
{3х=10-у
{у=1
поможіть, будь ласочкаааааа!!!

Ответы

Ответ дал: larisaserova53
1

Ответ:

Смотри решение на фото...

Приложения:
Вас заинтересует