Ответы
Ответ дал:
1
Відповідь:
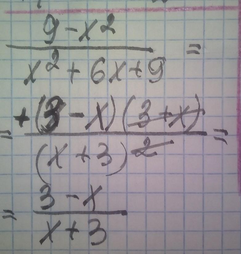
3-x/x+3
Пояснення:
9-x^2/x^2+6x+9
(3-x)(3+x)/(x+3)^2
3-x/x+3
3-x/x+3
Ответ дал:
1
Ответ:
решение смотри на фотографии
Приложения:

Вас заинтересует
2 года назад
2 года назад
2 года назад
2 года назад
8 лет назад
8 лет назад
9 лет назад