• Предмет: Математика
  • Автор: olegsoltisps
  • Вопрос задан 7 лет назад

пжжж допоможіть срочно​

Приложения:

Ответы

Ответ дал: larisaserova53
0

Ответ:

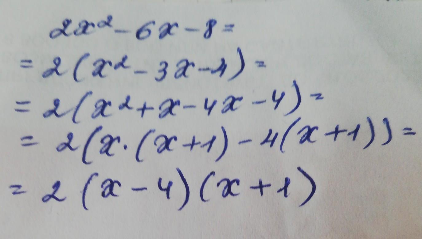
Смотри решение на фото...

Приложения:
Ответ дал: tyanca01
0

Ответ:

2(х+4)(х-1)

Пошаговое объяснение:

2х²+6х -8=2(х²+3х-4)=2(х+4)(х-1)

Вас заинтересует