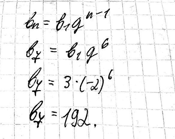
Знайти сьомий член геометричної прогресії (вп), якщо в1 = 3, q = -2
192
- 192
96
- 96
Пожалуста срочно
Semp1x:
(bn) и b1
Ответы
Ответ дал:
5
Ответ:
Объяснение:
b₇=b₁*q⁶=3*(-2)⁶=3*64=192 - відповідь
Ответ дал:
1
дивіться фото.............................
Приложения:

Вас заинтересует
2 года назад
2 года назад
2 года назад
2 года назад
8 лет назад
9 лет назад