• Предмет: Алгебра
  • Автор: widownes
  • Вопрос задан 7 лет назад

Решите неравенство

x4(6-x)/x2-3x-4>0

Приложения:

Ответы

Ответ дал: imkzukr
1

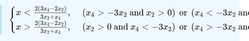
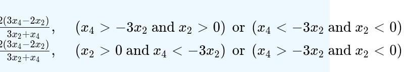
Ответ:

в закрепе написала шаги решения для х

Приложения:
Вас заинтересует