• Предмет: Физика
  • Автор: oskostya
  • Вопрос задан 7 лет назад

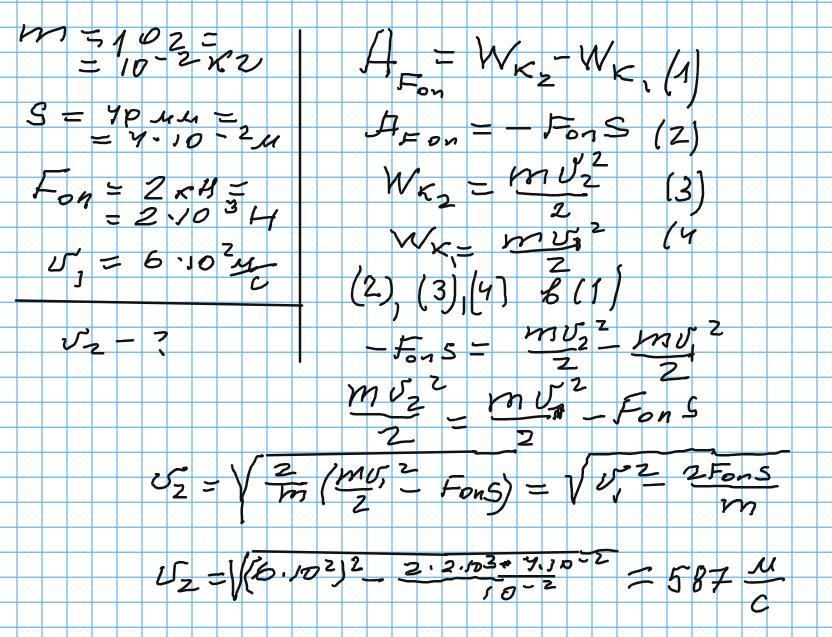
Куля масою 10 г, яка рухається з швидкістю 600 м/с, попадає у закриплену дошку, товшина якої 40 мм. 3 якою швидкістю куля вилетить з дошки, якщо середня сила опору у дошці становить 2 кH?​

Ответы

Ответ дал: zybkov1950
4

Відповідь: 587 м/с

Пояснення:

Приложения:

oskostya: Дякую
tgvjhzgf: прошу допоможіть
tgvjhzgf: срочно!!!!!! Проведіть додаткові вимірювання та визначте, у скільки разів зменшилася кінетична енергія протона за час пробігу в камерi Вiльсона.​
Вас заинтересует