• Предмет: Алгебра
  • Автор: 56755587655
  • Вопрос задан 7 лет назад

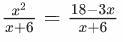
Розв′яжіть рівняння:

Приложения:

Ответы

Ответ дал: vikamira15219
1

Відповідь:

x=3

Пояснення:

\frac{x^2}{x+6}=\frac{18-3x}{x+6}  , x\neq -6\\\\x^2=18-3x\\\\x^2+3x-18=0\\\\x^2+6x-3x-18=0\\\\x*(x+6)-3(x+6)=0\\\\(x+6)(x-3)=0\\\\x+6=0\\x-3=0\\\\x=-6\\x=3, x\neq =-6\\\\x=3

Вас заинтересует