• Предмет: Алгебра
  • Автор: Reideen
  • Вопрос задан 7 лет назад

Задание приложено...

Приложения:

Ответы

Ответ дал: mathkot
1

Ответ:

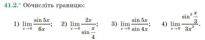
Пределы:

1) \boxed{ \boldsymbol { \displaystyle  \lim_{x \to 0} \frac{\sin 5x}{6x} = \frac{5}{6}    }  }

2) \boxed{ \boldsymbol { \displaystyle  \lim_{x \to 0} \frac{2x}{\sin \dfrac{x}{4} } = 8   }  }

3) \boxed{ \boldsymbol { \displaystyle \lim_{x \to 0} \frac{\sin 5x}{\sin 4x} = 1,25   }  }

4) \boxed{ \boldsymbol {  \displaystyle \lim_{x \to 0} \frac{\sin^{3} \dfrac{x}{3} }{3x^{3}} =\frac{1}{81}   }  }

Примечание:

Первый замечательный предел:

\boxed{ \displaystyle \boldsymbol{ \lim_{x \to 0} \frac{\sin x}{x} = 1  } }

Следствие из первого замечательного предела:

\boxed{ \displaystyle \boldsymbol{ \lim_{x \to x_{0}} \frac{\sin g(x)}{g(x)} = 1  } } при условии, что \displaystyle  \lim_{x \to x_{0}} g(x) = 0

--------------------------------------------------------------------

\displaystyle \lim_{x \to a} f(x) = f(a) если \exists f(x) в точке x = a

Теоремы: (при условии, что f(x), g(x) имеют предел в точке a)

Предел суммы:

\displaystyle  \lim_{x \to a} (f(x) + g(x)) =   \lim_{x \to a} f(x) +  \lim_{x \to a} g(x)

Предел произведения:

\displaystyle  \lim_{x \to a} (f(x) \cdot g(x)) =   \lim_{x \to a} f(x) \cdot  \lim_{x \to a} g(x)

Следствие из предела произведения:

\displaystyle \lim_{x \to a} (k \cdot f(x)) = k \lim_{x \to a} f(x)

Предел частного:

\displaystyle  \lim_{x \to a} \frac{f(x)}{g(x)}  =  \frac{\displaystyle  \lim_{x \to a} f(x) }{\displaystyle  \lim_{x \to a} g(x)} при условии, что \displaystyle  \lim_{x \to a} g(x) \neq 0

Объяснение:

1)

\displaystyle  \lim_{x \to 0} \frac{\sin 5x}{6x} = \frac{1}{6}  \lim_{x \to 0} \frac{5 \cdot\sin 5x}{5x} = \frac{5}{6}  \lim_{x \to 0} \frac{\sin 5x}{5x} =  \frac{5}{6} \cdot 1 =  \frac{5}{6}

2)

\displaystyle  \lim_{x \to 0} \frac{2x}{\sin \dfrac{x}{4} } =2\lim_{x \to 0} \frac{1}{ \dfrac{\sin  \dfrac{x}{4} }{x}  } = 2\lim_{x \to 0} \frac{1}{ \dfrac{\sin  \dfrac{x}{4} }{4 \cdot\dfrac{x}{4} }  } = \frac{2}{\displaystyle \lim_{x \to 0} \Bigg(\dfrac{\sin  \dfrac{x}{4} }{4 \cdot\dfrac{x}{4} }  \Bigg)} =\frac{2}{\displaystyle \frac{1}{4} \lim_{x \to 0} \Bigg(\dfrac{\sin  \dfrac{x}{4} }{\dfrac{x}{4} }  \Bigg)}=

= \dfrac{2}{\dfrac{1}{4}  \cdot 1} = \dfrac{2}{0,25} = 8

3)

\displaystyle \lim_{x \to 0} \frac{\sin 5x}{\sin 4x} = \lim_{x \to 0} \frac{5x \cdot \dfrac{\sin 5x}{5x} }{4x \cdot  \dfrac{\sin 4x}{4x} } = \lim_{x \to 0} \frac{5 \cdot \dfrac{\sin 5x}{5x} }{4 \cdot  \dfrac{\sin 4x}{4x} } = \frac{5}{4}  \lim_{x \to 0} \frac{ \dfrac{\sin 5x}{5x} }{  \dfrac{\sin 4x}{4x} } =

\displaystyle = \frac{5}{4} \cdot   \frac{\displaystyle \lim_{x \to 0} \bigg( \dfrac{\sin 5x}{5x} \bigg) }{ \displaystyle  \lim_{x \to 0} \bigg(\dfrac{\sin 4x}{4x} \bigg) } = \frac{5}{4} \cdot \frac{1}{1} = \frac{5}{4} = 1,25

4)

\displaystyle \lim_{x \to 0} \frac{\sin^{3} \dfrac{x}{3} }{3x^{3}} = \frac{1}{3} \lim_{x \to 0} \frac{\sin^{3} \dfrac{x}{3} }{3^{3} \cdot \dfrac{x^{3}}{3^{3}}  } =\frac{1}{81} \lim_{x \to 0} \frac{\sin^{3} \dfrac{x}{3} }{\dfrac{x^{3}}{3^{3}}  } =\frac{1}{81} \Bigg(\lim_{x \to 0} \frac{\sin \dfrac{x}{3} }{\dfrac{x}{3} }  \Bigg)^{3} =\frac{1}{81} \cdot 1 =

= \dfrac{1}{81}

Вас заинтересует