• Предмет: Математика
  • Автор: dragon483rei
  • Вопрос задан 7 лет назад

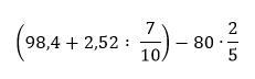
Помогите, пожалуйста, люди хорошие по действиям надо!

Приложения:

Ответы

Ответ дал: ucilka0604
1

Ответ:

Пошаговое объяснение:

Приложения:
Вас заинтересует