• Предмет: Математика
  • Автор: Derryf9366
  • Вопрос задан 7 лет назад

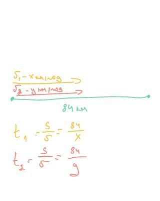
Із жвох пунктів, відстань мід якими є 84 км, в одному напрямі виїхали одночасно два автомобілі

Ответы

Ответ дал: tinkerbell1118
0

Ответ:

на фото

Пошаговое объяснение:

.........................

Приложения:
Вас заинтересует