• Предмет: Алгебра
  • Автор: makienkodarina
  • Вопрос задан 7 лет назад

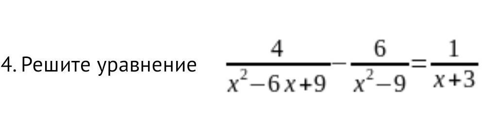
Решить уравнение, помогите пожалуйста

Приложения:

Ответы

Ответ дал: fenix6810
1

Ответ:

x=7.

смотрим файл.....

Объяснение:

Приложения:

makienkodarina: спасибо!
Вас заинтересует