Ответы
Ответ дал:
1
Ответ:
х = 4
........................
Приложения:

Ответ дал:
2
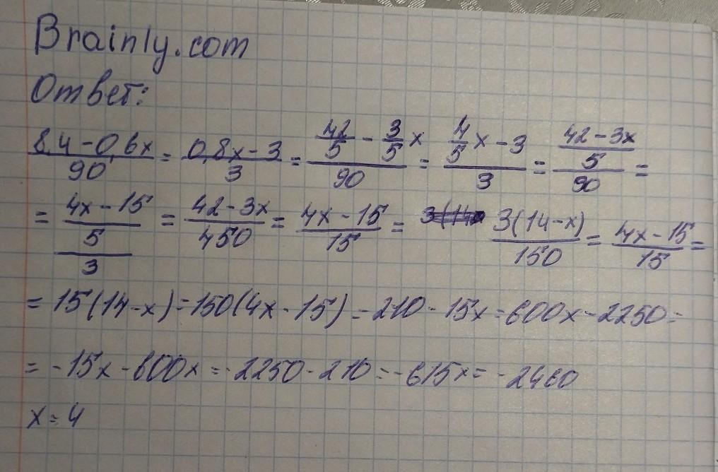
Ответ: 4
Ниже прикрепила решение
Ниже прикрепила решение
Приложения:

Вас заинтересует
2 года назад
2 года назад
2 года назад
8 лет назад
9 лет назад