• Предмет: Алгебра
  • Автор: rakovecdima69
  • Вопрос задан 7 лет назад

Помогите пожалуйста, очень нужно.​

Приложения:

Ответы

Ответ дал: PROSANYA55555
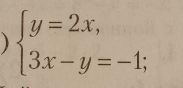
1

Ответ:

y = 2x

3x-y = -1

(Подставляем y)

3x-2x = -1

x = -1

y = -1*2

y = -2

Ответ: x = -1

            y = -2

ПОСТАВЬ ПОЖАЛУЙСТА КОРОНУ!!!!!!!!!!!!!

Вас заинтересует