• Предмет: Математика
  • Автор: Aska55
  • Вопрос задан 7 лет назад

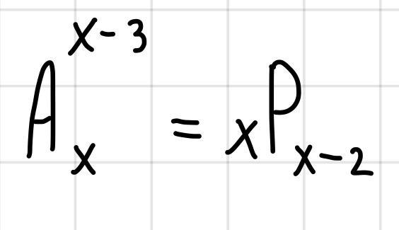
Необходимо решить уравнение

Приложения:

Ответы

Ответ дал: pirimovairma69
0
У этого уравнения нет решения, везде искала , даже в калькуляторе показывает ошибку
Ответ дал: rostykbogdanov
0

Ответ:

я хз якщо чесно ..........................

Вас заинтересует