• Предмет: Алгебра
  • Автор: oxidizestandoff2yt
  • Вопрос задан 7 лет назад

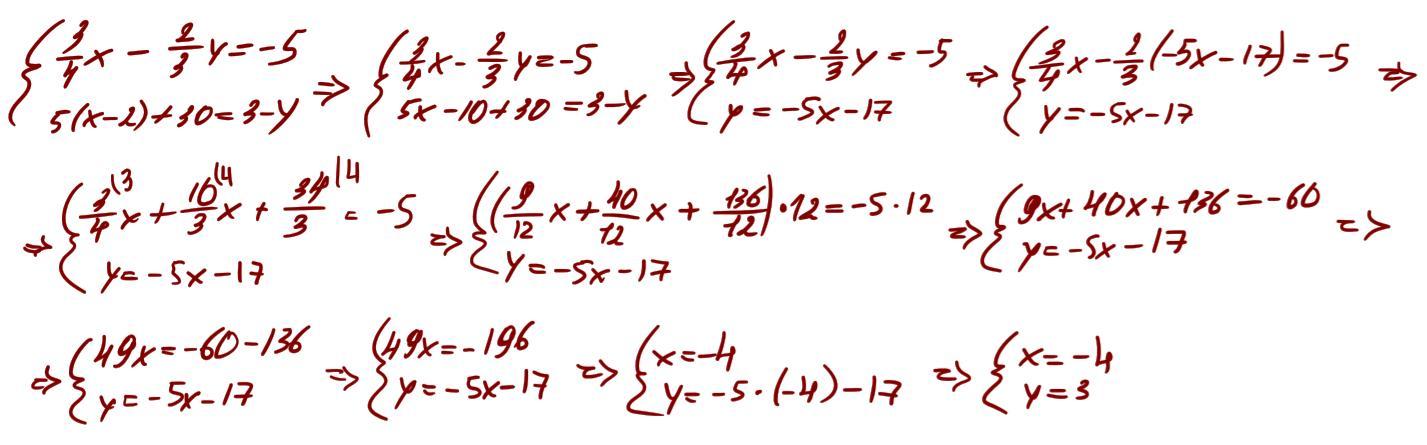
Решить систему уравнений
любым способом:
3/4x - 2/3y = -5
5(x-2) + 30 = 3-y

Ответы

Ответ дал: doxgh
0

Ответ: см. приложение

Приложения:
Вас заинтересует