• Предмет: Математика
  • Автор: vkfake148879
  • Вопрос задан 7 лет назад

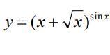
Допоможіть знайти похідну функції

Приложения:

Ответы

Ответ дал: nepustilipoeta
2

Ответ:

y'=(x+√x)^sinxcosx*㏑(x+√x)+sinx*(1-1/(2√x))/(x+√x)

Пошаговое объяснение:

㏑у=sinx*㏑(x+√x)

y'/y=cosx*㏑(x+√x)+sinx*(1-1/(2√x))/(x+√x)

y'=(x+√x)^sinxcosx*㏑(x+√x)+sinx*(1-1/(2√x))/(x+√x)

Вас заинтересует