• Предмет: Физика
  • Автор: tisha1364
  • Вопрос задан 7 лет назад

помогите пожалуйста:(
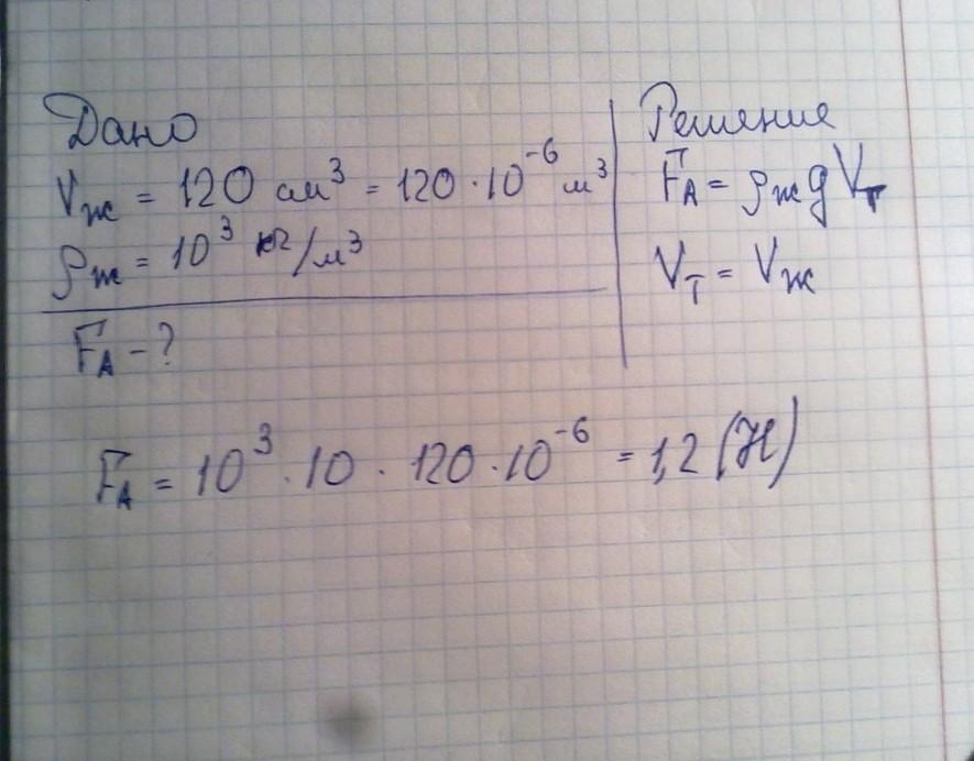
1. Тело , погружаясь в воду , вытесняет 120м3 жидкости. Чему равна архимедова сила , действующая на это тело?
2. Ребро куба , погруженного в масло , равно 2 см . Вычислите действующую на куб архимедову силу.

Ответы

Ответ дал: esmiraaleskerova590
0

1.

Дано:

L(ребро куба)= 2 см = 0, 02м.

g(ускорение свободного падения) = 10м/с^2

p(плотность воды) = 1000 кг/ м^3

Решение:

F = p * g * V

гдеV - объем куба

V = L^3

1) V = 0,02 ^ 3 = 0, 000008 м^3

2) F = 1000 * 10 * 0,000008 = 0,08 Н

Приложения:
Вас заинтересует