Ответы
Ответ дал:
1
Ответ:
Объяснение:
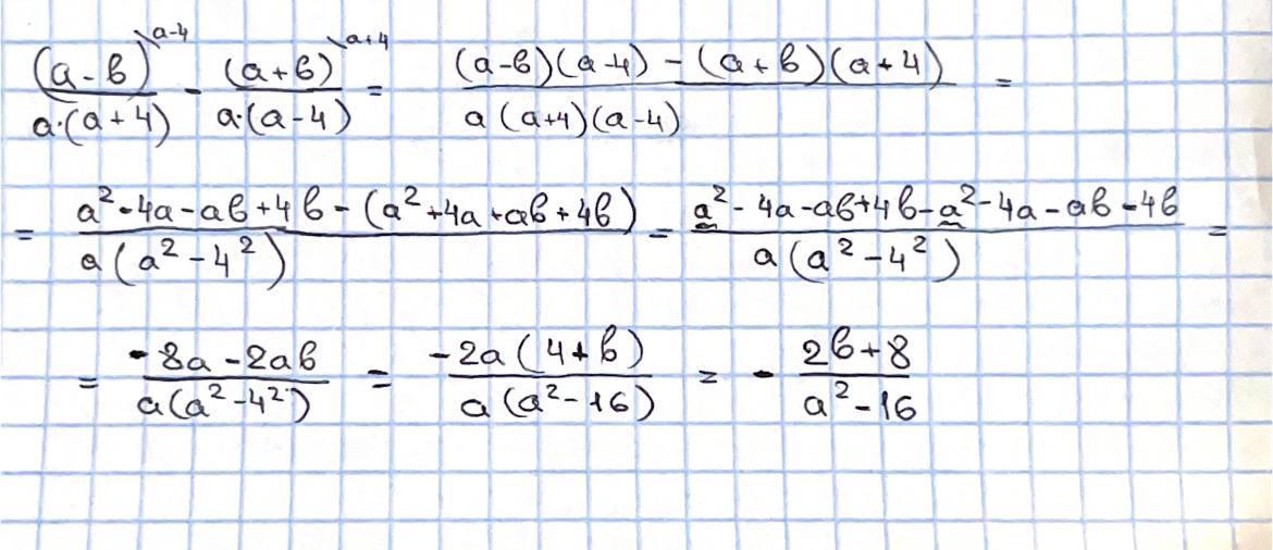
сначала приводим дроби к общему знаменателю, домножаем числители на недостающие множители
раскрываем скобки, в числителе приводим подобные слагаемые, в знаменателе используем формулу сокращенного умножения
потом сокращаем на (-2), а в конце выносим минус за скобки
Приложения:

Вас заинтересует
2 года назад
2 года назад
2 года назад
2 года назад
8 лет назад