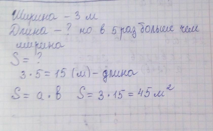
6. Реши задачу с кратким условием.(обязательно с условием или снижаю оценку)
Участок прямоугольной формы, ширина которого 3 м, а длина в 5 раз больше, чем его ширина. Чему равна площадь участка?
Ответы
Ответ дал:
0
Ответ:
45 м2
Пошаговое объяснение: длина бдует 15 см, 15*3 будет 45 м2
Ответ дал:
1
Пошаговое объяснение:
Вот тебе ответ..........
Приложения:

tovstunalisa123:
спасибо
Вас заинтересует
2 года назад
2 года назад
2 года назад
8 лет назад
8 лет назад
9 лет назад