Ответы
Ответ дал:
0
Ответ:
Смотри решение на фото..
Приложения:

Ответ дал:
1
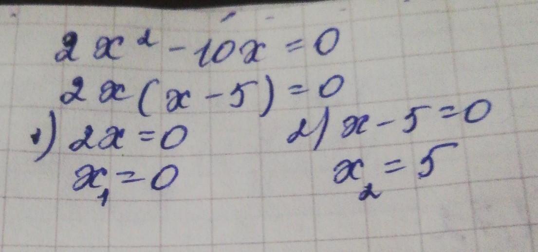
Решение.
Неполное квадратное уравнение . Вынесем общий множитель. Затем каждый множитель приравняем к 0 .
Ответ:
Вас заинтересует
2 года назад
2 года назад
8 лет назад
8 лет назад
9 лет назад