пожалуйста помогите! Очень нужно, если не сложно с подробным решением на листе;(
20 баллов
Приложения:

Ответы
Ответ дал:
2
Ответ:
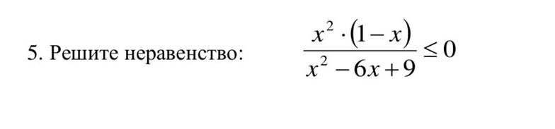
Применяем метод интервалов решения неравенств.
danya111839:
опа, добрый день, NNNLL54! у меня тут задание по геометрии, можете помочь?
Вас заинтересует
2 года назад
2 года назад
2 года назад
2 года назад
9 лет назад