• Предмет: Алгебра
  • Автор: 4el0u
  • Вопрос задан 7 лет назад

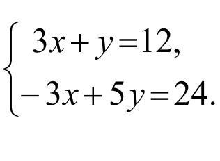
Розв’язати систему рівнянь способом додавання:

Приложения:

Ответы

Ответ дал: Zhenya2518
0

Ответ:

(2;6)

Объяснение:

на фото

Приложения:
Вас заинтересует