• Предмет: Алгебра
  • Автор: sasavolosina85
  • Вопрос задан 7 лет назад

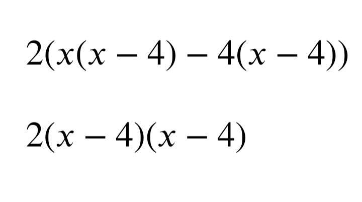
розкладіть на множники
2x²-16x+32
допоможіть, будь ласка ​

Ответы

Ответ дал: genovaanastasia21980
0

Відповідь:

Пояснення:

Приложения:
Вас заинтересует