• Предмет: Алгебра
  • Автор: aleksandradylgyra452
  • Вопрос задан 7 лет назад

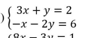
Помогите пожалуйста!!! Решите графическим способом систем уравнений!! Даю 40 баллов!! ​

Приложения:

Ответы

Ответ дал: md2009
0

Ответ:

(2;-4)

Объяснение:

y=2-3x

-x-2y=6

-x-2(2-3x)=6

-x-4-6x=6

-5x=-10

x=2

3×2+y=2

6+y=2

y=-4

Вас заинтересует