• Предмет: Алгебра
  • Автор: nikitacernavskij26
  • Вопрос задан 7 лет назад

Помогите срочно! пожалуйста

Приложения:

Ответы

Ответ дал: Svita14
1

Ответ:

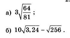
a)3\sqrt{\frac{64}{81} } =3*\frac{8}{9} =\frac{3*8}{9}=\frac{8}{3} =2\frac{2}{3}

b)10\sqrt{3,24} -\sqrt{256}=10*1,8-16=18-16=2


nikitacernavskij26: Огромное спасибо, вы меня выручили
Svita14: Пожалуйста))
nikitacernavskij26: сможете помочь с похожим заданием? сейчас выложу
Вас заинтересует