• Предмет: Алгебра
  • Автор: nikitacernavskij26
  • Вопрос задан 7 лет назад

Помогите пожалуйста, срочно!

Приложения:

Ответы

Ответ дал: Svita14
1

Ответ:

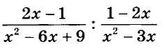
\frac{2x-1}{x^{2} -6x+9}:\frac{1-2x}{x^{2} -3x}=\frac{(2x-1)*(x^{2} -3x)}{(x^{2} -6x+9)*(1-2x)}=\frac{-(1-2x)*x*(x-3)}{(x-3)^{2} *(1-2x)}=\frac{-x}{x-3}=-\frac{x}{x-3}


nikitacernavskij26: Спасибо!!!!! Я не знаю чтобы без вас делал...
Вас заинтересует