• Предмет: Математика
  • Автор: palkerofficial
  • Вопрос задан 7 лет назад

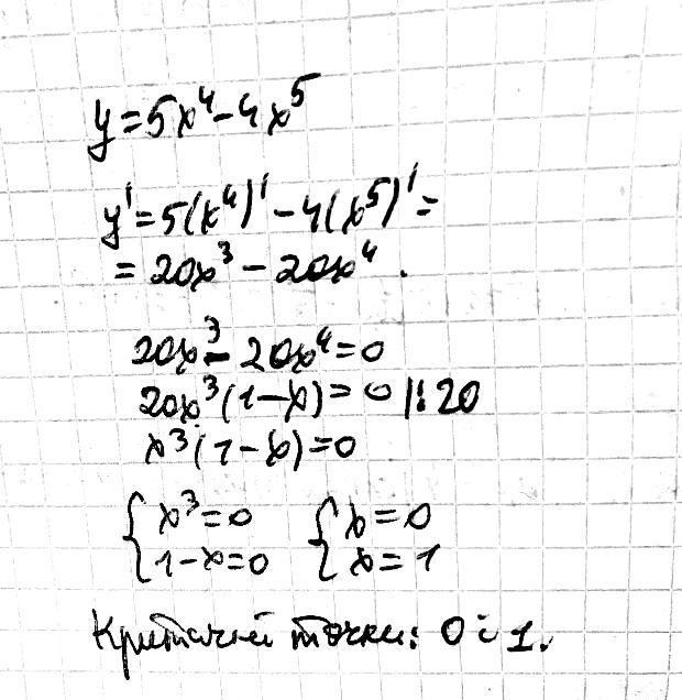
знайдіть критичні точки функції y=5x⁴ - 4x⁵​

Приложения:

Ответы

Ответ дал: yevheniiavz
1

дивіться фото..................

Приложения:

mashhryl: https://znanija.com/task/49468882
mashhryl: допоможіть будь ласка
mashhryl: https://znanija.com/task/49452098
mashhryl: https://znanija.com/task/49451960
Вас заинтересует