Ответы
Ответ дал:
1
Ответ:
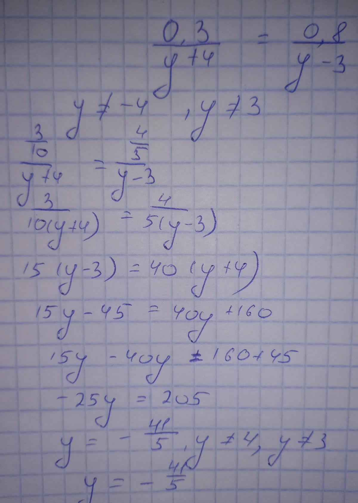
y=-41/5 або y=-8 1/5,y=-8,2
как-то так
Приложения:

Вас заинтересует
2 года назад
2 года назад
8 лет назад
8 лет назад
9 лет назад