• Предмет: Математика
  • Автор: s140301228
  • Вопрос задан 7 лет назад

ДАЮ 50 БАЛЛОВ

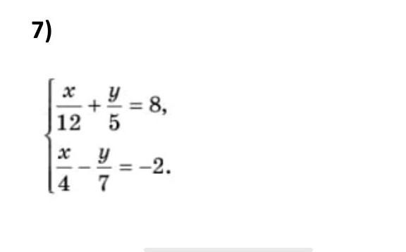
7) 1/5 x y + = 8, y = -2.​

Приложения:

Ответы

Ответ дал: temirbekovaayimsch13
0

Ответ:

х=-9

Пошаговое объяснение:

я все проверила это правильно

Вас заинтересует